I been looking at price range of movements how i can best assess if index is worth watching. So i used Tro Range Count (240 bar analysis) on 3 time frames 15,1hr and 4hr.
For the mainly major indexes and minor one.
I can see the E/U i luv to trade isnt doing so well compaired to others, Eur/Jpy is leading the way. I can see from percentages that my gains on Eur/Usd index are in line with the movements based my time lenght and holding the trade. This gives me confidence that its not me and it current condition of market. I will update this every 10 days and post it here.
There maybe a relationship in these figures that may give you deeper understand of the indexes at moment i only understand obvious one.
BB
Bettleboxs Breakdown of Zlines and MoMos
Moderator: moderators
Please add www.kreslik.com to your ad blocker white list.
Thank you for your support.
Thank you for your support.
updated figures
There has been slight increase in range on EU but most significant has been the G/U has become more volitile on the lower time frames over the last 10 trading days.
There has been slight increase in range on EU but most significant has been the G/U has become more volitile on the lower time frames over the last 10 trading days.
There are two forces acting upon us: Suffering pushes us forward from behind and pleasures entice us and pull us forward.
Updated figures seeing a drop across board on the indexes.
E/U still dropping in range this reflected in my pips gained. I will continue to take snap shots of market roughly ever 10 trading days. It seems like a good habit to do , its like health check. Then cross referencing it to how your doing in your trades.
I think whats going on at deeper level is im gain new kind confidence in my trade plan. I can see direct relationship between the markets fluctuation and my performance.
E/U still dropping in range this reflected in my pips gained. I will continue to take snap shots of market roughly ever 10 trading days. It seems like a good habit to do , its like health check. Then cross referencing it to how your doing in your trades.
I think whats going on at deeper level is im gain new kind confidence in my trade plan. I can see direct relationship between the markets fluctuation and my performance.
There are two forces acting upon us: Suffering pushes us forward from behind and pleasures entice us and pull us forward.
Im currently researching midpoints at entries as price retraces back into Momentum.
This based off TRO method posted back on Babypips 2008. I have included some snap shots of post on babypips(note this article no longer exists since it was banned).
My Support and Resistance will be extremes of Momentum candle be it 1hr momo, 4hr momo etc
I will collect data how :-
1:- how effective it is to enter 1/3 lot size as price crosses first 15min midpoints.
2:- Use midpoint as price turns on retracements again on entry level.
3:- Using midpoints as to gauge if a current open position should be held after hitting a keylevel.
BABYPIPS PAGE
BABYPIPS PAGE
BABYPIPS PAGE
+
EURUSD CHART FROM FRIDAY NOTE AS PRICE TURNED TO UPSIDE AND 50% (MIDPOINTS)LEVELS OF 15MIN BARS. ALSO NOTE HOW PRICE TURNED AT TOP.
This based off TRO method posted back on Babypips 2008. I have included some snap shots of post on babypips(note this article no longer exists since it was banned).
My Support and Resistance will be extremes of Momentum candle be it 1hr momo, 4hr momo etc
I will collect data how :-
1:- how effective it is to enter 1/3 lot size as price crosses first 15min midpoints.
2:- Use midpoint as price turns on retracements again on entry level.
3:- Using midpoints as to gauge if a current open position should be held after hitting a keylevel.
BABYPIPS PAGE
BABYPIPS PAGE
BABYPIPS PAGE
+
EURUSD CHART FROM FRIDAY NOTE AS PRICE TURNED TO UPSIDE AND 50% (MIDPOINTS)LEVELS OF 15MIN BARS. ALSO NOTE HOW PRICE TURNED AT TOP.
There are two forces acting upon us: Suffering pushes us forward from behind and pleasures entice us and pull us forward.
Please add www.kreslik.com to your ad blocker white list.
Thank you for your support.
Thank you for your support.
Short but a good article from Nial Fuller. Nial writes free Price Action trading Articles every friday.
http://www.learntotradethemarket.com/fo ... real-money
BB
http://www.learntotradethemarket.com/fo ... real-money
BB
There are two forces acting upon us: Suffering pushes us forward from behind and pleasures entice us and pull us forward.
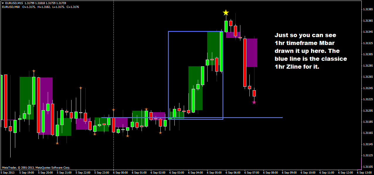
Price analysis with zlines and biggest bars on 15min chart my entry chart.
All charts below are 15min bars with 1 hr overlays.
This show how the breakout swings and 15min biggest bars in that swing combined with zline builds a picture of where price is going. All entries must take before price enters an area or attempt at level, leaving you enough room to get out if price is rejected off a level or area. Simple
All charts below are 15min bars with 1 hr overlays.
This show how the breakout swings and 15min biggest bars in that swing combined with zline builds a picture of where price is going. All entries must take before price enters an area or attempt at level, leaving you enough room to get out if price is rejected off a level or area. Simple
- Attachments
-
- 13 of 13
- BBar Page 8-1.png (45.96 KiB) Viewed 5908 times
-
- 12 of 13
- BBar Page 7-1.png (52.27 KiB) Viewed 5908 times
-
- 11 of 13
- BBar Page 6-1.png (37.17 KiB) Viewed 5908 times
-
- 10 of 13
- BBar Page 5-1.png (49.46 KiB) Viewed 5908 times
-
- 9 of 13
- BBar Page 4-1.png (54.3 KiB) Viewed 5908 times
-
- 8 of 13
- BBar Page 3-2.png (58 KiB) Viewed 5908 times
-
- 7 of 13
- BBar Page 3-1.png (50.88 KiB) Viewed 5908 times
-
- 6 of 13
- BBar Page 2-4.png (40.07 KiB) Viewed 5908 times
-
- 5 of 13
- BBar Page 2-3.png (46.85 KiB) Viewed 5908 times
-
- 4 of 13
- BBar Page 2-2.png (38.64 KiB) Viewed 5908 times
-
- 3 of 13
- BBar Page 2-1.png (43.17 KiB) Viewed 5908 times
-
- 2 of 13
- BBar Page 1-2.png (35.97 KiB) Viewed 5908 times
-
- 1 of 13
- BBar Page 1-1.png (41.19 KiB) Viewed 5908 times
There are two forces acting upon us: Suffering pushes us forward from behind and pleasures entice us and pull us forward.
Traders Psychology Behind The Big Bars:
In MBar,Momo, momentum whatever you want to call it. There will always be 1 candle that is biggest. This mean during that period the traders felt confident enough that was good place to open a position and because its the biggest. It represents most money put into market at that time.
So when price comes back to the biggest bar in movement ie a retracement.
The question is will the traders step back in?
If they do, price will turn and bounce out of the area.
or
If they don't, price will go through that area and not stop.
BB
Put it simply: the candle body sizes in a momentum movement shows you the flow of money in that moment. It's where the biggest flow of money started.
In MBar,Momo, momentum whatever you want to call it. There will always be 1 candle that is biggest. This mean during that period the traders felt confident enough that was good place to open a position and because its the biggest. It represents most money put into market at that time.
So when price comes back to the biggest bar in movement ie a retracement.
The question is will the traders step back in?
If they do, price will turn and bounce out of the area.
or
If they don't, price will go through that area and not stop.
BB
Put it simply: the candle body sizes in a momentum movement shows you the flow of money in that moment. It's where the biggest flow of money started.
There are two forces acting upon us: Suffering pushes us forward from behind and pleasures entice us and pull us forward.
- TygerKrane
- rank: 1000+ posts

- Posts: 1733
- Joined: Mon Jan 25, 2010 3:36 pm
- Reputation: 297
- Location: Long Island, NY
- Gender:

bettlebox wrote:Price analysis with zlines and biggest bars on 15min chart my entry chart.
All charts below are 15min bars with 1 hr overlays.
This show how the breakout swings and 15min biggest bars in that swing combined with zline builds a picture of where price is going. All entries must take before price enters an area or attempt at level, leaving you enough room to get out if price is rejected off a level or area. Simple

**Krane catches Tyger** !>I'm here to chew bubble gum and make major pips...and I'm all out of bubble gum.<!
Please add www.kreslik.com to your ad blocker white list.
Thank you for your support.
Thank you for your support.
