It now remains to be studied how 1.3723 is protected. There are two tiny triggers down. EURUSD is able to retrace to 1.3891 and that would be quite natural. It can slump even to 1.3804, what the heck. But the current ammunition is simply not enough to start up a revolt against taking 1.4388 at the end of the day. That is the whole secret about the market. When revealed it looks simple, maybe as simple as attempting to stand an egg upright on a piece of marble giving one end a blow. Those protesting that they could have done the same, I may answer that, yes, if they had seen my design.
In other words, I wanted for the first time to paint the image of the market no longer merely as flat two-dimensional shapes, but looking more like three-dimensional volumes. Invention of linear perspective by Brunelleschi in 1425 was a similar attempt but for quite different purposes.
My new chaos findings implemented in forex trading
Moderator: moderators
EURUSD contd
- Attachments
-
- eurusd5.03zz.gif (29.95 KiB) Viewed 3682 times
Please add www.kreslik.com to your ad blocker white list.
Thank you for your support.
Thank you for your support.
Seeing is believing but what is seen is truly unbelievable
I promised excitement and forex leaks. To stir the ant hill with a stick and then pour melted butter on it, well, it is not the thing we really want. The stick of chaos exposes the deepest secrets of financial markets. What we want to obtain is some insight into their hidden structures.
The point is that unlike bees many ants (most of the more advanced species) have multiple queens in larger colonies. Thus if you kill one, it is of little consequence. I am making this biological reference because complex system do indeed require some control and organisation work to function properly. The analysis of triggers and their projections provide enough evidence that not all triggers are important but some are more important than the others. It seems that the system will evolve towards preset targets with better precision if the secret code does not belong to one big name but is shared with some other participants. Chaotic systems enable coding and inserting secret messeges in the charts which at glance look innocent.
I have not the least doubt that markets pretend to be transparent to all markets participants but what we really have is not transparency but availability, two quite different things.
Mandelbrot wrongly understood markets talking about wild randomness. I need to explain something very fundamental. The sigma is defined as a standard deviation away from the average. The probabilities of exceeding multiples of sigma are obtained by a complex mathematical formula. Let us use the AUDUSD sigma as on February 23 (9:00) which reads 12 pips (from period 20) on M30 chart.
Now sit properly down because I am gonna shock you. Are you ready?
Do not smoke, do not eat at this moment and keep this post away from children.
The trigger up which occurred when sigma was 12 lifted AUDUSD 7 times the sigma when 4.669 was applied. The probability of exceeding 7 sigmas is 1 in 780,000,000,000 times.
AUDUSD exceeded later more than 13 sigmas when it reached 1.0195. Probability of exceeding just 10 sigmas is 1 in 130,000,000,000,000,000,000,000 times.
Such a very very miniscule probability but the events took place. You have seen many times evidence that 7 sigmas is quite "normal" for the system. How come? Because chaotic systems do not deal with probabilities, they deal with certainties. They deal with determinants.
Mandelbrot did not know triggers and wrongly attributed sharp jumps, discontinuities to a simple fractal law with a tail exponent. He was wrong. The fractal law is not simple at all and it does not deal with any tails as he suggested.
I will shock you with one more thing. Multiplier 14.208 which is quite frequently found in markets (refer to gold and some other markets) is equal to about 22 sigmas. The level described as a 22 sigma has been exceeded with the stock market crashes of 1987 and the interest moves of 1992.
In other words almost every week we observe local crashes of the same fractal magnitude as the 1987 crash! After 22 sigmas one hits a googol which is 1 with 100 zeros behind it. Now, you may take a deep breath and relax because you will need to brace for perusal of a very very interesting update of AUDUSD.
Last Monday, HSBC reported pre-tax profits of $19bn for 2010, more than double the $7.1bn figure for 2009. Not a big deal, just 19,000,000,000.
The point is that unlike bees many ants (most of the more advanced species) have multiple queens in larger colonies. Thus if you kill one, it is of little consequence. I am making this biological reference because complex system do indeed require some control and organisation work to function properly. The analysis of triggers and their projections provide enough evidence that not all triggers are important but some are more important than the others. It seems that the system will evolve towards preset targets with better precision if the secret code does not belong to one big name but is shared with some other participants. Chaotic systems enable coding and inserting secret messeges in the charts which at glance look innocent.
I have not the least doubt that markets pretend to be transparent to all markets participants but what we really have is not transparency but availability, two quite different things.
Mandelbrot wrongly understood markets talking about wild randomness. I need to explain something very fundamental. The sigma is defined as a standard deviation away from the average. The probabilities of exceeding multiples of sigma are obtained by a complex mathematical formula. Let us use the AUDUSD sigma as on February 23 (9:00) which reads 12 pips (from period 20) on M30 chart.
Now sit properly down because I am gonna shock you. Are you ready?
Do not smoke, do not eat at this moment and keep this post away from children.
The trigger up which occurred when sigma was 12 lifted AUDUSD 7 times the sigma when 4.669 was applied. The probability of exceeding 7 sigmas is 1 in 780,000,000,000 times.
AUDUSD exceeded later more than 13 sigmas when it reached 1.0195. Probability of exceeding just 10 sigmas is 1 in 130,000,000,000,000,000,000,000 times.
Such a very very miniscule probability but the events took place. You have seen many times evidence that 7 sigmas is quite "normal" for the system. How come? Because chaotic systems do not deal with probabilities, they deal with certainties. They deal with determinants.
Mandelbrot did not know triggers and wrongly attributed sharp jumps, discontinuities to a simple fractal law with a tail exponent. He was wrong. The fractal law is not simple at all and it does not deal with any tails as he suggested.
I will shock you with one more thing. Multiplier 14.208 which is quite frequently found in markets (refer to gold and some other markets) is equal to about 22 sigmas. The level described as a 22 sigma has been exceeded with the stock market crashes of 1987 and the interest moves of 1992.
In other words almost every week we observe local crashes of the same fractal magnitude as the 1987 crash! After 22 sigmas one hits a googol which is 1 with 100 zeros behind it. Now, you may take a deep breath and relax because you will need to brace for perusal of a very very interesting update of AUDUSD.
Last Monday, HSBC reported pre-tax profits of $19bn for 2010, more than double the $7.1bn figure for 2009. Not a big deal, just 19,000,000,000.
AUDUSD pip-to-pip behavior
AUDUSD pip-to-pip behavior.
First I attach a squeezed M30 chart for more perspective.
I managed to extract the most active trigger, it is the first one on the left.
Not an easy task, yet once we have got it it becomes clear what is the nearest target from the topside - 1.0286.
The true support is 1.0074. The last trigger was up.
This is one of the neatest and most precise chaotic development in recent weeks.
AUDUSD is still on a rising trajectory and 1.0074 serves here as a border and support. Some time in the future AUDUSD is going to take 1.0286.
Current spot rate is 1.0137.
AUDUSD shows that a chaotic system can have the same border derived from different projections and such a border is a part of a whole structure. When we are on the right track such borders usually behave like standard support and resistance lines, especially strong when there is not one line but a bundle of closely situated lines. It appears that all important local lows and local highs are not casual objects but they are projected triggers here and there. Those highs and lows can be seen by everybody, triggers remain hidden as a rule.
First I attach a squeezed M30 chart for more perspective.
I managed to extract the most active trigger, it is the first one on the left.
Not an easy task, yet once we have got it it becomes clear what is the nearest target from the topside - 1.0286.
The true support is 1.0074. The last trigger was up.
This is one of the neatest and most precise chaotic development in recent weeks.
AUDUSD is still on a rising trajectory and 1.0074 serves here as a border and support. Some time in the future AUDUSD is going to take 1.0286.
Current spot rate is 1.0137.
AUDUSD shows that a chaotic system can have the same border derived from different projections and such a border is a part of a whole structure. When we are on the right track such borders usually behave like standard support and resistance lines, especially strong when there is not one line but a bundle of closely situated lines. It appears that all important local lows and local highs are not casual objects but they are projected triggers here and there. Those highs and lows can be seen by everybody, triggers remain hidden as a rule.
- Attachments
-
- audusd5.03zz.gif (40.46 KiB) Viewed 3655 times
-
- audusd5.03z.gif (49.91 KiB) Viewed 3656 times
-
- audusd5.03.gif (42.77 KiB) Viewed 3663 times
EURJPY
EURJPY currently 115.12 has got the potential to retrace recent gains targeting 113.61 (151 pips).
Even if it goes up I would treat it as an opportunity to short EURJPY.
EURJPY did exactly 14.208 of the marked trigger (115.94). We have got accomplishment of two independent triggers in the area, very exact in their nature and also very very expanded fractals.
Even if it goes up I would treat it as an opportunity to short EURJPY.
EURJPY did exactly 14.208 of the marked trigger (115.94). We have got accomplishment of two independent triggers in the area, very exact in their nature and also very very expanded fractals.
- Attachments
-
- eurjpy5.03z.gif (40.36 KiB) Viewed 3643 times
-
- eurjpy5.03.gif (37.41 KiB) Viewed 3644 times
Please add www.kreslik.com to your ad blocker white list.
Thank you for your support.
Thank you for your support.
EURGBP closed @ 8555 (40pips)
EURGBP did 14.208=8602 on Friday.
There is potential to retrace to 8555 from the current spot rate 8597. (40pips)
EURGBP closed @ 8555 (40pips)
I call it Trichet's retracement.
There is potential to retrace to 8555 from the current spot rate 8597. (40pips)
EURGBP closed @ 8555 (40pips)
I call it Trichet's retracement.
- Attachments
-
- eurgbp10.03.gif (30.45 KiB) Viewed 3628 times
AUDCHF
Clearly rejected 9461 set the mood to visit 9318 and 9316.
Clearly rejected 9461 twice . Firm lows established at 9341 and 9347 have formed new triggers up. The nearest target 4.669 of the smaller trigger is at 9405.
Yet, AUDCHF finally dipped to 9318 and 9316.
Clearly rejected 9461 twice . Firm lows established at 9341 and 9347 have formed new triggers up. The nearest target 4.669 of the smaller trigger is at 9405.
Yet, AUDCHF finally dipped to 9318 and 9316.
- Attachments
-
- audchf10.03zf.gif (77.26 KiB) Viewed 3604 times
-
- audchf10.03.gif (41.39 KiB) Viewed 3621 times
Last edited by Paul&Paul on Thu Mar 10, 2011 3:19 pm, edited 1 time in total.
EURJPY update
EURJPY updated. Capped between 115.44/48 and 114.36. Recently accomplished 114.36 is one of two similar targets. What is evident that all the nearest upside targets are below the top from March 4. So it is not going to be easy to break through.
- Attachments
-
- eurjpy10.03.gif (83.89 KiB) Viewed 3619 times
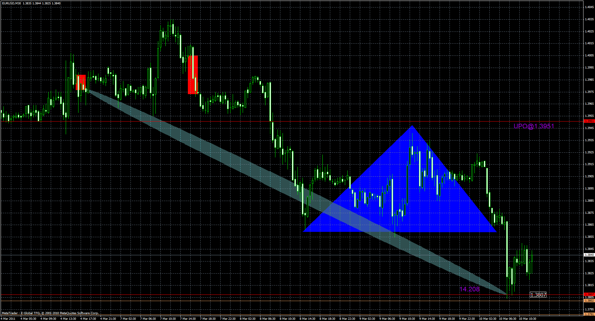
EURUSD update
EURUSD update.
First pay attention to UPO@1.3951 which is a repeller. The market failed to make a loop and retrace there. Instead, EURUSD dipped lower. This is our first determinant on this chart. EURUSD is going to return to 1.3951 some time in the future.
Now the question is whether there is new energy in the system for such a move upside. For the time being we forget about the earlier projections. We want to see what is there in this picture which is in front of most traders today.
I am building up the skeleton gradually, step by step.
The new object shows that 1.3807 is not a trifle level. It is 14.208 of the trigger on the left. Besides, I mentioned earlied that EURUSD might retrace to 1.3804. And it has retraced today exactly.
A projection based on the second trigger down yielded 1.3830 which is 4.669.
The latest thing is that EURUSD produced a trigger up with virtually no pips in it.
However, I have encountered many such situations when the market moved in the direction of the trigger. Maybe today's major market players wanted to keep it as mysterious as possible.
It is 14.00 hrs. and nothing new on the table. Let us go long now @ 1.3828.
First pay attention to UPO@1.3951 which is a repeller. The market failed to make a loop and retrace there. Instead, EURUSD dipped lower. This is our first determinant on this chart. EURUSD is going to return to 1.3951 some time in the future.
Now the question is whether there is new energy in the system for such a move upside. For the time being we forget about the earlier projections. We want to see what is there in this picture which is in front of most traders today.
I am building up the skeleton gradually, step by step.
The new object shows that 1.3807 is not a trifle level. It is 14.208 of the trigger on the left. Besides, I mentioned earlied that EURUSD might retrace to 1.3804. And it has retraced today exactly.
A projection based on the second trigger down yielded 1.3830 which is 4.669.
The latest thing is that EURUSD produced a trigger up with virtually no pips in it.
However, I have encountered many such situations when the market moved in the direction of the trigger. Maybe today's major market players wanted to keep it as mysterious as possible.
It is 14.00 hrs. and nothing new on the table. Let us go long now @ 1.3828.
- Attachments
-
- eurusd10.03zz.gif (81.65 KiB) Viewed 3611 times
-
- eurusd10.03z.gif (77.6 KiB) Viewed 3612 times
-
- eurusd10.03.gif (70.65 KiB) Viewed 3615 times
EURUSD closed @ 1.3894 (+66pips)
OK, we have got some nice profit. EURUSD closed @ 1.3894 (+66pips). It is not a target but the end of Friday, so some reason there is.
Earlier, though EURJPY targeting 113.61 gave +151 pips.
EURGBP retraced to 8555 from the spot rate 8597 (+40pips).
Total +257 pips from those trades.
Earlier, though EURJPY targeting 113.61 gave +151 pips.
EURGBP retraced to 8555 from the spot rate 8597 (+40pips).
Total +257 pips from those trades.
Please add www.kreslik.com to your ad blocker white list.
Thank you for your support.
Thank you for your support.
