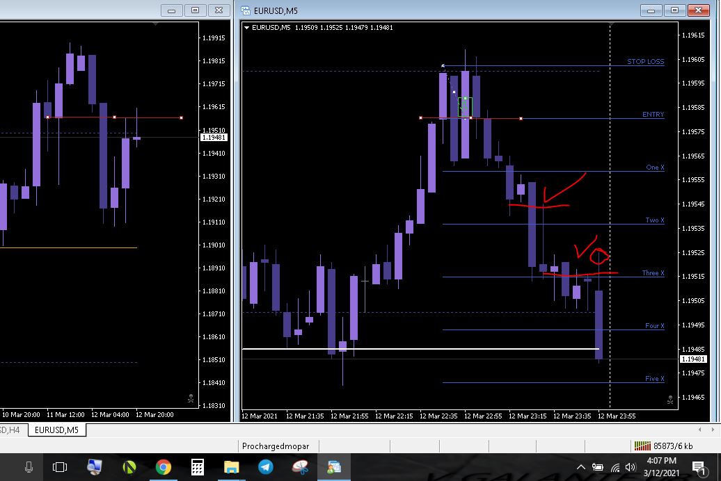
aliassmith wrote:prochargedmopar wrote:Chart I been watching all afternoon.
Just Nuts.
EU3.JPG
That first trade was a wet dream if you stacked into it.![]()
You need expectation and conviction to pull it off.
How would you stack into it? Is the risk increased alot when stacking? What is benefit of stacking vs putting a bigger order at the best price if conviction is strong? Thanks.



