Dear TRO
Please kindly assist. What is the combination of indicators used for one to get his/her charts to look like yours, as per your posting. I am a donational member. I received my indis yesterday...
Okuhle
DAILY WICK ZONE TRADING
Moderator: moderators
Please add www.kreslik.com to your ad blocker white list.
Thank you for your support.
Thank you for your support.
- TheRumpledOne
- rank: 10000+ posts

- Posts: 15764
- Joined: Sun May 14, 2006 9:31 pm
- Reputation: 3048
- Location: Oregon
- Real name: Avery T. Horton, Jr.
- Gender:

- Contact:
Re: DAILY WICK ZONE TRADING
The only indicator used on this chart is TRO2014_HTBL_ZONE.
IT'S NOT WHAT YOU TRADE, IT'S HOW YOU TRADE IT!
Please do NOT PM me with trading or coding questions, post them in a thread.
Please do NOT PM me with trading or coding questions, post them in a thread.
Re: DAILY WICK ZONE TRADING
Dear Sir
This is what i get on my chart when i insert the TRO2015_HTBL indicator.
Please kindly assist as to what i'm not doing correctly.
Much appreciated
Okuhle
This is what i get on my chart when i insert the TRO2015_HTBL indicator.
Please kindly assist as to what i'm not doing correctly.
Much appreciated
Okuhle
- Attachments
-
- TRO2015_HTBL.png (57.93 KiB) Viewed 5021 times
Re: DAILY WICK ZONE TRADING
Dear Sir
I see on the pdf notes that i received the notes about the TRO2015_mp_htbl, in the top right corner of your screengrab, it is described in template form and on the files that i received from you i have only the following templates:
TRO2015_Dashboard.tpl
TRO2015_mo_crash_zone.tpl
TRO2015_pm_crash_zone.tpl
Not sure if the Daily Wick Trading is also meant to be attached as a template...
Regards
Okuhle
I see on the pdf notes that i received the notes about the TRO2015_mp_htbl, in the top right corner of your screengrab, it is described in template form and on the files that i received from you i have only the following templates:
TRO2015_Dashboard.tpl
TRO2015_mo_crash_zone.tpl
TRO2015_pm_crash_zone.tpl
Not sure if the Daily Wick Trading is also meant to be attached as a template...
Regards
Okuhle
Re: DAILY WICK ZONE TRADING
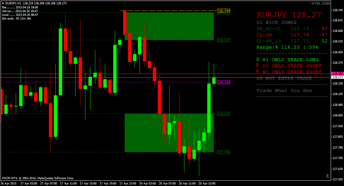
Dear Sir
This is another screengrab for your information. EURJPY..
Regards
Okuhle
This is another screengrab for your information. EURJPY..
Regards
Okuhle
- Attachments
-
- TRO2015_MP_HTBL.png (54.4 KiB) Viewed 5017 times
Please add www.kreslik.com to your ad blocker white list.
Thank you for your support.
Thank you for your support.
Re: DAILY WICK ZONE TRADING
Dear Sir
Is the TRO_MP_HTBL_Zone indicator part of the 2014 or 2015 donational series?
I have the 2015 serie. If the indicator is part of the 2014, please let me know how much i have to pay to get it please.I am rather anxious to get it as soon possible.
Kind regards
Okuhle.
Is the TRO_MP_HTBL_Zone indicator part of the 2014 or 2015 donational series?
I have the 2015 serie. If the indicator is part of the 2014, please let me know how much i have to pay to get it please.I am rather anxious to get it as soon possible.
Kind regards
Okuhle.
- TheRumpledOne
- rank: 10000+ posts

- Posts: 15764
- Joined: Sun May 14, 2006 9:31 pm
- Reputation: 3048
- Location: Oregon
- Real name: Avery T. Horton, Jr.
- Gender:

- Contact:
Re: DAILY WICK ZONE TRADING
TRO2014_HTBL_ZONE plots the zones on the chart.
TRO2014_MP_HTBL_ZONE is the multi pairs gauge version and so is TRO2015_MP_HTBL_ZONE
TRO2014_MP_HTBL_ZONE is the multi pairs gauge version and so is TRO2015_MP_HTBL_ZONE
IT'S NOT WHAT YOU TRADE, IT'S HOW YOU TRADE IT!
Please do NOT PM me with trading or coding questions, post them in a thread.
Please do NOT PM me with trading or coding questions, post them in a thread.
- TheRumpledOne
- rank: 10000+ posts

- Posts: 15764
- Joined: Sun May 14, 2006 9:31 pm
- Reputation: 3048
- Location: Oregon
- Real name: Avery T. Horton, Jr.
- Gender:

- Contact:
Re: DAILY WICK ZONE TRADING
Once again, trading with price as it leaves the DAILY WICK ZONES was profitable.
IT'S NOT WHAT YOU TRADE, IT'S HOW YOU TRADE IT!
Please do NOT PM me with trading or coding questions, post them in a thread.
Please do NOT PM me with trading or coding questions, post them in a thread.
- TheRumpledOne
- rank: 10000+ posts

- Posts: 15764
- Joined: Sun May 14, 2006 9:31 pm
- Reputation: 3048
- Location: Oregon
- Real name: Avery T. Horton, Jr.
- Gender:

- Contact:
Re: DAILY WICK ZONE TRADING
There was no upper wick zone because the high and open were the same.
But price still moved in/out of the lower wick zone for profitable trading.
IT'S NOT WHAT YOU TRADE, IT'S HOW YOU TRADE IT!
Please do NOT PM me with trading or coding questions, post them in a thread.
Please do NOT PM me with trading or coding questions, post them in a thread.
- TheRumpledOne
- rank: 10000+ posts

- Posts: 15764
- Joined: Sun May 14, 2006 9:31 pm
- Reputation: 3048
- Location: Oregon
- Real name: Avery T. Horton, Jr.
- Gender:

- Contact:
Re: DAILY WICK ZONE TRADING
Another day where price exiting the Wick Zone provided profitable opportunities.
IT'S NOT WHAT YOU TRADE, IT'S HOW YOU TRADE IT!
Please do NOT PM me with trading or coding questions, post them in a thread.
Please do NOT PM me with trading or coding questions, post them in a thread.
Please add www.kreslik.com to your ad blocker white list.
Thank you for your support.
Thank you for your support.
