Aliassmith Beats a "Dead Horse"

free & uncensored discussion arena for TheRumpledOne

Moderator: moderators

User avatar
aliassmith
rank: 5000+ posts
rank: 5000+ posts
Posts: 5057
Joined: Tue Jul 28, 2009 9:50 pm
Reputation: 2848
Gender: Male

Re: Aliassmith Beats a "Dead Horse"

Postby aliassmith » Tue Jan 04, 2022 7:55 pm

prochargedmopar wrote:
aliassmith wrote:PRO Did you get this one? 10 pip or 2x
Basic pull back to zero. Off a double bottom test with pinbar.
Are you trading for real now or just hindsight?


I'm trading real SMALL.
I'm not sure you can say it's hindsight.
I mark the charts BEfore it moves.

I'd call it mastering my craft.
Like using Forex Tester but with Live charts.

AJ has seemed to draw me back in after years of being apart.
Moves almost all day/night, has low leverage requirements, and fairly good spreads.
I'm not sure of the TAX hit that will be taken when making big bucks so I'll cross that road when it becomes a problem.
Or go to indices. Those move well too.
If I'm forced later to trade a dollar based pair like EU I'd be trading market opens only cuz the rest of the time it DIES.

This the one your talking about?

#eu4.JPG


From what I know your biggest issue is ramping up your size and being able to still make good decisions. I would focus on getting your size up inch by inch :shock: Like the cheap blackjack tables risk $5 a hand

Narrow down what your A+ trades look like and focus on them.
Trade Your Way as Long as It Makes Money!

Please add www.kreslik.com to your ad blocker white list.
Thank you for your support.

User avatar
prochargedmopar
rank: 10000+ posts
rank: 10000+ posts
Posts: 12073
Joined: Sat Dec 20, 2008 6:07 am
Reputation: 1790
Location: Granbury, TX
Gender: Male
Contact:

Re: Aliassmith Beats a "Dead Horse"

Postby prochargedmopar » Tue Jan 04, 2022 9:06 pm

aliassmith wrote:
prochargedmopar wrote:
aliassmith wrote:PRO Did you get this one? 10 pip or 2x
Basic pull back to zero. Off a double bottom test with pinbar.
Are you trading for real now or just hindsight?


I'm trading real SMALL.
I'm not sure you can say it's hindsight.
I mark the charts BEfore it moves.

I'd call it mastering my craft.
Like using Forex Tester but with Live charts.

AJ has seemed to draw me back in after years of being apart.
Moves almost all day/night, has low leverage requirements, and fairly good spreads.
I'm not sure of the TAX hit that will be taken when making big bucks so I'll cross that road when it becomes a problem.
Or go to indices. Those move well too.
If I'm forced later to trade a dollar based pair like EU I'd be trading market opens only cuz the rest of the time it DIES.

This the one your talking about?

#eu4.JPG


From what I know your biggest issue is ramping up your size and being able to still make good decisions. I would focus on getting your size up inch by inch :shock: Like the cheap blackjack tables risk $5 a hand

Narrow down what your A+ trades look like and focus on them.


Great Idea and what I started doing last week. But, how bout MM's at a time?
I keep telling her all I want is another inch or two, but she says NO.
LOL
#1BODY in direction of profit #2INCREASE lot size Obsessively
My Losses cause me Great Laughter!
Trading Bible here> therumpledone/the-ideas-that-i-trade-by-t3256/page1670

User avatar
prochargedmopar
rank: 10000+ posts
rank: 10000+ posts
Posts: 12073
Joined: Sat Dec 20, 2008 6:07 am
Reputation: 1790
Location: Granbury, TX
Gender: Male
Contact:

Re: Aliassmith Beats a "Dead Horse"

Postby prochargedmopar » Tue Jan 04, 2022 9:13 pm

Here is a D+ trade that some how worked.
I marked what I thought was a factor but may just be random price spikes. LOL

#aj.JPG
#aj.JPG (67.28 KiB) Viewed 1606 times
#aj1.JPG
#aj1.JPG (94.93 KiB) Viewed 1606 times
#1BODY in direction of profit #2INCREASE lot size Obsessively
My Losses cause me Great Laughter!
Trading Bible here> therumpledone/the-ideas-that-i-trade-by-t3256/page1670

User avatar
aliassmith
rank: 5000+ posts
rank: 5000+ posts
Posts: 5057
Joined: Tue Jul 28, 2009 9:50 pm
Reputation: 2848
Gender: Male

Re: Aliassmith Beats a "Dead Horse"

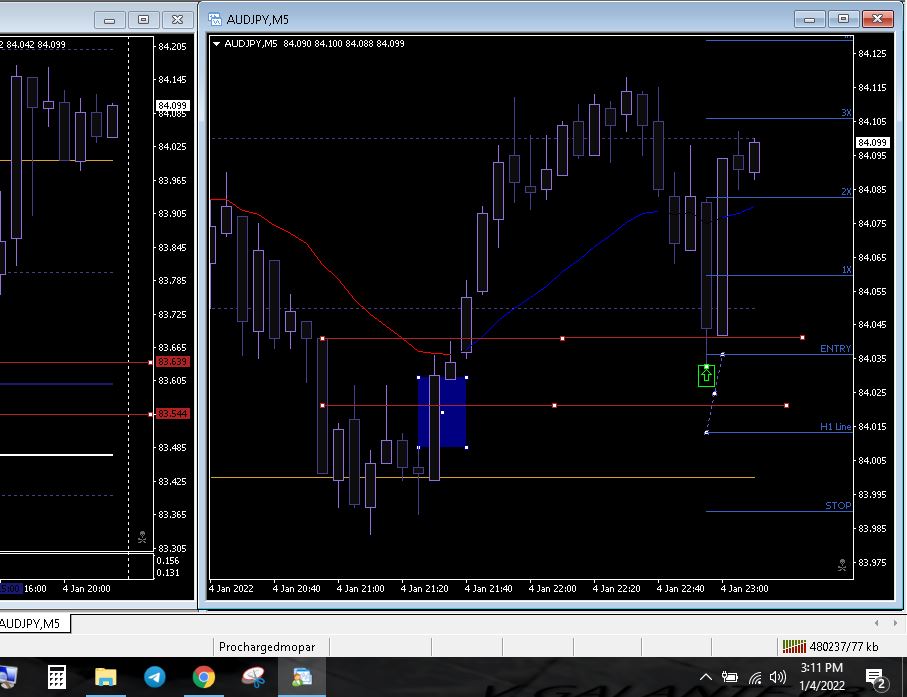
Postby aliassmith » Wed Jan 05, 2022 8:34 am

prochargedmopar wrote:Here is a D+ trade that some how worked.
I marked what I thought was a factor but may just be random price spikes. LOL

#aj.JPG#aj1.JPG


What about a pinbar rejected from a zline then trade the breakout. About 1.5x
Attachments
Screenshot_20220105-033124_MetaTrader 5.jpg
Screenshot_20220105-033124_MetaTrader 5.jpg (96.01 KiB) Viewed 1537 times
Trade Your Way as Long as It Makes Money!

User avatar
prochargedmopar
rank: 10000+ posts
rank: 10000+ posts
Posts: 12073
Joined: Sat Dec 20, 2008 6:07 am
Reputation: 1790
Location: Granbury, TX
Gender: Male
Contact:

Re: Aliassmith Beats a "Dead Horse"

Postby prochargedmopar » Wed Jan 05, 2022 5:38 pm

aliassmith wrote:
prochargedmopar wrote:Here is a D+ trade that some how worked.
I marked what I thought was a factor but may just be random price spikes. LOL

#aj.JPG#aj1.JPG


What about a pinbar rejected from a zline then trade the breakout. About 1.5x


Yeah, I've been gravitating toward that a lot lately.
Big pin with/then Strong close is a price chasers dream. :lol:
Last edited by prochargedmopar on Wed Jan 05, 2022 6:53 pm, edited 2 times in total.
#1BODY in direction of profit #2INCREASE lot size Obsessively
My Losses cause me Great Laughter!
Trading Bible here> therumpledone/the-ideas-that-i-trade-by-t3256/page1670

Please add www.kreslik.com to your ad blocker white list.
Thank you for your support.

User avatar
prochargedmopar
rank: 10000+ posts
rank: 10000+ posts
Posts: 12073
Joined: Sat Dec 20, 2008 6:07 am
Reputation: 1790
Location: Granbury, TX
Gender: Male
Contact:

Re: Aliassmith Beats a "Dead Horse"

Postby prochargedmopar » Wed Jan 05, 2022 5:48 pm

aliassmith wrote:
prochargedmopar wrote:Here is a D+ trade that some how worked.
I marked what I thought was a factor but may just be random price spikes. LOL

#aj.JPG#aj1.JPG


What about a pinbar rejected from a zline then trade the breakout. About 1.5x


I really like the inverted hammer and hanging man when in an area of interest.
Next bar almost always seems to close in proper direction.
Doesn't always mean full on reversal but have a chance to take profit or get out.

The rest is just Mo n Z

#aj5.JPG
#aj5.JPG (101.31 KiB) Viewed 1464 times
#1BODY in direction of profit #2INCREASE lot size Obsessively
My Losses cause me Great Laughter!
Trading Bible here> therumpledone/the-ideas-that-i-trade-by-t3256/page1670

User avatar
prochargedmopar
rank: 10000+ posts
rank: 10000+ posts
Posts: 12073
Joined: Sat Dec 20, 2008 6:07 am
Reputation: 1790
Location: Granbury, TX
Gender: Male
Contact:

Re: Aliassmith Beats a "Dead Horse"

Postby prochargedmopar » Wed Jan 05, 2022 5:50 pm

Did i just right thees?
Instead of These?

Bahahahaha wtf?
#1BODY in direction of profit #2INCREASE lot size Obsessively
My Losses cause me Great Laughter!
Trading Bible here> therumpledone/the-ideas-that-i-trade-by-t3256/page1670

User avatar
prochargedmopar
rank: 10000+ posts
rank: 10000+ posts
Posts: 12073
Joined: Sat Dec 20, 2008 6:07 am
Reputation: 1790
Location: Granbury, TX
Gender: Male
Contact:

Re: Aliassmith Beats a "Dead Horse"

Postby prochargedmopar » Wed Jan 05, 2022 6:49 pm

Alias,

See what I'm talking about with those "hanging men".?

Price into something, Hanging man (or inverted hammer)
Next bar close proper direction.

#aj.JPG
#aj.JPG (45.03 KiB) Viewed 1437 times
#1BODY in direction of profit #2INCREASE lot size Obsessively
My Losses cause me Great Laughter!
Trading Bible here> therumpledone/the-ideas-that-i-trade-by-t3256/page1670

User avatar
aliassmith
rank: 5000+ posts
rank: 5000+ posts
Posts: 5057
Joined: Tue Jul 28, 2009 9:50 pm
Reputation: 2848
Gender: Male

Re: Aliassmith Beats a "Dead Horse"

Postby aliassmith » Thu Jan 06, 2022 1:29 am

prochargedmopar wrote:Alias,

See what I'm talking about with those "hanging men".?

Price into something, Hanging man (or inverted hammer)
Next bar close proper direction.

#aj.JPG


In my opinion these types of candles have the most "influence " when they coincide with supply/demand areas, aka zlines and pointy places.
Trade Your Way as Long as It Makes Money!

User avatar
BambinoFlex
rank: 500+ posts
rank: 500+ posts
Posts: 557
Joined: Thu Oct 10, 2019 4:40 am
Reputation: 336
Location: Houston
Real name: Jorge "George" Alvarado
Gender: Male

Re: Aliassmith Beats a "Dead Horse"

Postby BambinoFlex » Thu Jan 06, 2022 2:01 am

There’s a thread on Midpoints. Those candles, even if they’re bullish, close below the mid and if bearish, close above the mid. The edge is that the next bar will close in the “correct” direction. This coincides to MOs “pointy things” as Alias suggested as well as a comment he made about the mid point. Something along the lines that if a new candle is moving past the previous midpoint, it could signal a reversal. I didn’t read much of it but I remember reading it and that’s what stuck.
"If you're wrong, guess what...thats TRADING"

Please add www.kreslik.com to your ad blocker white list.
Thank you for your support.


Return to “TheRumpledOne”