ProchargedMopar's Trading Trilogy

free & uncensored discussion arena for TheRumpledOne

Moderator: moderators

User avatar
aliassmith
rank: 5000+ posts
rank: 5000+ posts
Posts: 5057
Joined: Tue Jul 28, 2009 9:50 pm
Reputation: 2848
Gender: Male

Re: ProchargedMopar's Trading Trilogy

Postby aliassmith » Mon Jan 31, 2022 6:57 am

prochargedmopar wrote:Alias,
Listen closely.
He says it once in the vid when he is a little agitated.
When price has ran a level, When price makes a gap, THEN is when we look for OB's and the gap is the "secret sauce" of ZL's that are successful.
He says using the gap as entry AFTER a market structure break is best, otherwise ur gonna miss the Z and have to chase price.

When his criterion is met for gap usage. it's gold and drawdown is minimal.


I like the ones when he is actually trading on TD Ameritrade. He said something about going back to demo. Whats that all about?
Trade Your Way as Long as It Makes Money!

Please add www.kreslik.com to your ad blocker white list.
Thank you for your support.

User avatar
prochargedmopar
rank: 10000+ posts
rank: 10000+ posts
Posts: 12073
Joined: Sat Dec 20, 2008 6:07 am
Reputation: 1790
Location: Granbury, TX
Gender: Male
Contact:

Re: ProchargedMopar's Trading Trilogy

Postby prochargedmopar » Mon Jan 31, 2022 7:02 am

Hahaha,

That was easy to see.

Moving up,
Moving,
Moving down.

There are 4 vids, I'm watching #4 again now, then going to bed.
To late for me!!!!!!!!!!!!

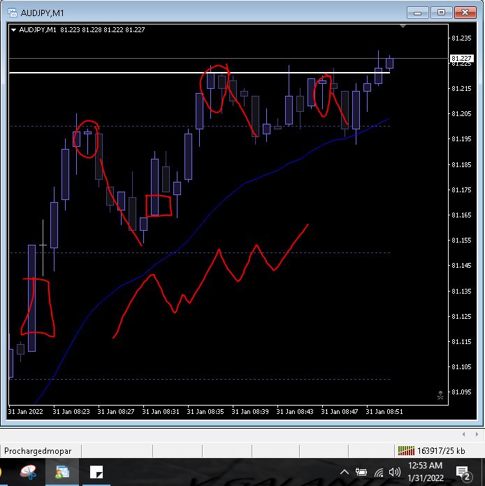
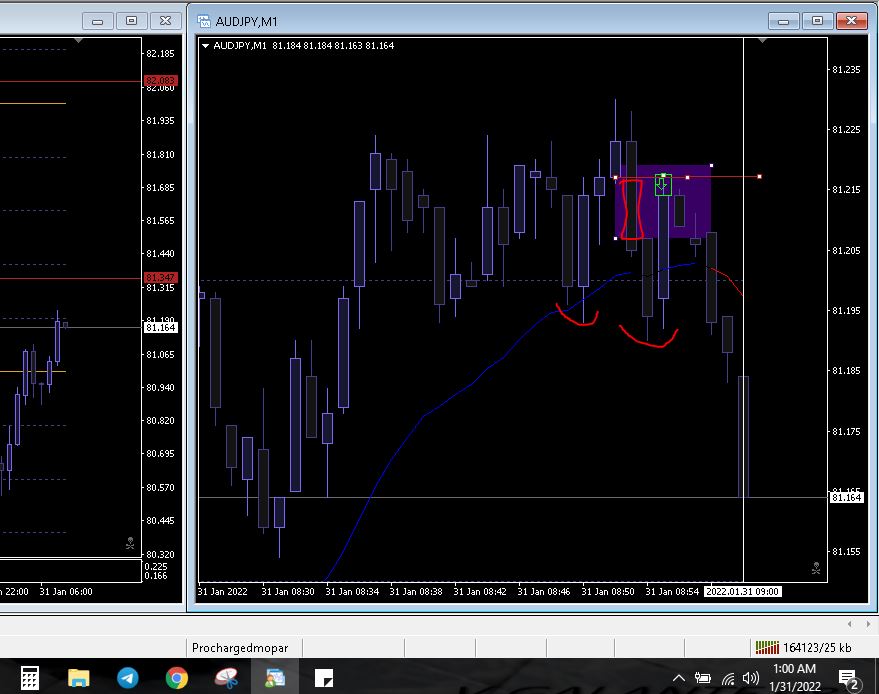
#aj1.JPG
#aj1.JPG (70.39 KiB) Viewed 1075 times
#aj2.JPG
#aj2.JPG (64.43 KiB) Viewed 1075 times
#aj3.JPG
#aj3.JPG (87.36 KiB) Viewed 1075 times
#1BODY in direction of profit #2INCREASE lot size Obsessively
My Losses cause me Great Laughter!
Trading Bible here> therumpledone/the-ideas-that-i-trade-by-t3256/page1670

User avatar
prochargedmopar
rank: 10000+ posts
rank: 10000+ posts
Posts: 12073
Joined: Sat Dec 20, 2008 6:07 am
Reputation: 1790
Location: Granbury, TX
Gender: Male
Contact:

Re: ProchargedMopar's Trading Trilogy

Postby prochargedmopar » Mon Jan 31, 2022 7:08 am

aliassmith wrote:
prochargedmopar wrote:Alias,
Listen closely.
He says it once in the vid when he is a little agitated.
When price has ran a level, When price makes a gap, THEN is when we look for OB's and the gap is the "secret sauce" of ZL's that are successful.
He says using the gap as entry AFTER a market structure break is best, otherwise ur gonna miss the Z and have to chase price.

When his criterion is met for gap usage. it's gold and drawdown is minimal.


I like the ones when he is actually trading on TD Ameritrade. He said something about going back to demo. Whats that all about?


Ummmm,

He is not a CTA.
He has to be very careful about what he says and does or he'll get shut down.
I'm tellin' ya. I'd never let that dude trade at my brokerage unless I was able to track/follow his trades.
Look at the views on his vids.
They ALL know who he is.

He will be showing live account results/trades.
Specially as we get closer to summer. We got time.
#1BODY in direction of profit #2INCREASE lot size Obsessively
My Losses cause me Great Laughter!
Trading Bible here> therumpledone/the-ideas-that-i-trade-by-t3256/page1670

User avatar
aliassmith
rank: 5000+ posts
rank: 5000+ posts
Posts: 5057
Joined: Tue Jul 28, 2009 9:50 pm
Reputation: 2848
Gender: Male

Re: ProchargedMopar's Trading Trilogy

Postby aliassmith » Mon Jan 31, 2022 7:13 am

prochargedmopar wrote:
aliassmith wrote:
prochargedmopar wrote:Alias,
Listen closely.
He says it once in the vid when he is a little agitated.
When price has ran a level, When price makes a gap, THEN is when we look for OB's and the gap is the "secret sauce" of ZL's that are successful.
He says using the gap as entry AFTER a market structure break is best, otherwise ur gonna miss the Z and have to chase price.

When his criterion is met for gap usage. it's gold and drawdown is minimal.


I like the ones when he is actually trading on TD Ameritrade. He said something about going back to demo. Whats that all about?


Ummmm,

He is not a CTA.
He has to be very careful about what he says and does or he'll get shut down.
I'm tellin' ya. I'd never let that dude trade at my brokerage unless I was able to track/follow his trades.
Look at the views on his vids.
They ALL know who he is.

He will be showing live account results/trades.
Specially as we get closer to summer. We got time.


I actually think its fine if he continues to trade the same demo account the whole time on tradeview.

BTW him trading at TD Ameritrade doesn't affect them. He is raping the retail people along with others. :shock:
Trade Your Way as Long as It Makes Money!

User avatar
aliassmith
rank: 5000+ posts
rank: 5000+ posts
Posts: 5057
Joined: Tue Jul 28, 2009 9:50 pm
Reputation: 2848
Gender: Male

Re: ProchargedMopar's Trading Trilogy

Postby aliassmith » Mon Jan 31, 2022 7:15 am

aliassmith wrote:
prochargedmopar wrote:
aliassmith wrote:
I like the ones when he is actually trading on TD Ameritrade. He said something about going back to demo. Whats that all about?


Ummmm,

He is not a CTA.
He has to be very careful about what he says and does or he'll get shut down.
I'm tellin' ya. I'd never let that dude trade at my brokerage unless I was able to track/follow his trades.
Look at the views on his vids.
They ALL know who he is.

He will be showing live account results/trades.
Specially as we get closer to summer. We got time.


I actually think its fine if he continues to trade the same demo account the whole time on tradeview.

BTW him trading at TD Ameritrade doesn't affect them. He is raping the retail people along with others. :shock:


Unlike if I trade at Oanda and they don't hedge my trades they lose money.
Trade Your Way as Long as It Makes Money!

Please add www.kreslik.com to your ad blocker white list.
Thank you for your support.

User avatar
prochargedmopar
rank: 10000+ posts
rank: 10000+ posts
Posts: 12073
Joined: Sat Dec 20, 2008 6:07 am
Reputation: 1790
Location: Granbury, TX
Gender: Male
Contact:

Re: ProchargedMopar's Trading Trilogy

Postby prochargedmopar » Mon Jan 31, 2022 7:26 am

aliassmith wrote:
aliassmith wrote:
prochargedmopar wrote:
Ummmm,

He is not a CTA.
He has to be very careful about what he says and does or he'll get shut down.
I'm tellin' ya. I'd never let that dude trade at my brokerage unless I was able to track/follow his trades.
Look at the views on his vids.
They ALL know who he is.

He will be showing live account results/trades.
Specially as we get closer to summer. We got time.


I actually think its fine if he continues to trade the same demo account the whole time on tradeview.

BTW him trading at TD Ameritrade doesn't affect them. He is raping the retail people along with others. :shock:


Unlike if I trade at Oanda and they don't hedge my trades they lose money.


Success card,
Goal is to get the boot. LOL
#1BODY in direction of profit #2INCREASE lot size Obsessively
My Losses cause me Great Laughter!
Trading Bible here> therumpledone/the-ideas-that-i-trade-by-t3256/page1670

User avatar
prochargedmopar
rank: 10000+ posts
rank: 10000+ posts
Posts: 12073
Joined: Sat Dec 20, 2008 6:07 am
Reputation: 1790
Location: Granbury, TX
Gender: Male
Contact:

Re: ProchargedMopar's Trading Trilogy

Postby prochargedmopar » Mon Jan 31, 2022 7:45 am

My eyes can't stay open and ICT over here talking about "Crabs". LOL
He did say NO reversal until Liquidity is taken.

M1 didn't last long against m5 and h1 charts.....

#aj1.JPG
#aj1.JPG (110.26 KiB) Viewed 1202 times
#1BODY in direction of profit #2INCREASE lot size Obsessively
My Losses cause me Great Laughter!
Trading Bible here> therumpledone/the-ideas-that-i-trade-by-t3256/page1670

taavis
rank: <50 posts
rank: <50 posts
Posts: 7
Joined: Sun Jan 16, 2022 7:44 am
Reputation: 4
Gender: None specified

Re: ProchargedMopar's Trading Trilogy

Postby taavis » Mon Jan 31, 2022 8:21 am

Today when I woke up and check my phone there was a YT notification that Prochargedmopar has a new upload. I was out of bed in 2 seconds and rushed to my PC to watch that. I liked it. Clean build man!
And at least I saw your garage trading station :) I imagined it was a laptop but man, you go tv screen there :D And that's the reason why you see charts the way you see :lol: I need to connect my TV also, sit in front of that and start watching price action over there.
One question:
What or who is TRO? :roll:

User avatar
LeMercenaire
rank: 1000+ posts
rank: 1000+ posts
Posts: 3184
Joined: Tue Sep 27, 2016 12:11 am
Reputation: 2303
Gender: None specified

Re: ProchargedMopar's Trading Trilogy

Postby LeMercenaire » Mon Jan 31, 2022 1:07 pm

taavis wrote:Today when I woke up and check my phone there was a YT notification that Prochargedmopar has a new upload. I was out of bed in 2 seconds and rushed to my PC to watch that. I liked it. Clean build man!
And at least I saw your garage trading station :) I imagined it was a laptop but man, you go tv screen there :D And that's the reason why you see charts the way you see :lol: I need to connect my TV also, sit in front of that and start watching price action over there.
One question:
What or who is TRO? :roll:


Lol. #-o

User avatar
aliassmith
rank: 5000+ posts
rank: 5000+ posts
Posts: 5057
Joined: Tue Jul 28, 2009 9:50 pm
Reputation: 2848
Gender: Male

Re: ProchargedMopar's Trading Trilogy

Postby aliassmith » Mon Jan 31, 2022 2:08 pm

taavis wrote:Today when I woke up and check my phone there was a YT notification that Prochargedmopar has a new upload. I was out of bed in 2 seconds and rushed to my PC to watch that. I liked it. Clean build man!
And at least I saw your garage trading station :) I imagined it was a laptop but man, you go tv screen there :D And that's the reason why you see charts the way you see :lol: I need to connect my TV also, sit in front of that and start watching price action over there.
One question:
What or who is TRO? :roll:


TRO is the man behind the kreslik curtain.
TheRumpledOne
Trade Your Way as Long as It Makes Money!

Please add www.kreslik.com to your ad blocker white list.
Thank you for your support.


Return to “TheRumpledOne”